Convexity Adjustments Made Easy: An Overview of Convexity Adjustment Methodologies in Interest Rate Markets
Henley Business School, University of Reading, United Kingdom
Abstract
Interest rate instruments are typically priced by creating a non-arbitrage replicating portfolio in a risk-neutral framework. Bespoke instruments with timing, quanto1 and other adjustments often present arbitrage opportunities, particularly in complete markets where the difference can be monetized. To eliminate arbitrage opportunities we are required to adjust bespoke instrument prices appropriately, such adjustments are typically non-linear and described as convexity adjustments.
We review convexity adjustments firstly using a linear rate model and then consider a more advanced static replication approach. We outline and derive the analytical formulae for Libor and Swap Rate adjustments in a single and multi- curve environment, providing examples and case studies for Libor In-Arrears, CMS Caplet, Floorlet and Swaplet adjustments in particular. In this paper we aim to review convexity adjustments with extensive reference to popular market literature to make what is traditionally an opaque subject more transparent and heuristic.
Keywords: Convexity Adjustments; Radon-Nykodym Derivative; Shifted- Lognormal; Linear Swap Rate Method; Libor In-Arrears Swaps; Constant Maturity Swaps; CMS Caplets, Floorlets and Swaplets.
JEL Classification: G100, G120.
* E-mail addresses: nburgessx@gmail.com
1 A quanto adjustment is also known as a currency adjustment
Notations
The notation in table 1 will be used for pricing formulae.
Table 1. Notations
1. Introduction
In financial markets the requirement for convexity adjustments arise due to timing, currency, margining, collateralization and other product customization.
In particular within interest rate markets for Libor or SOFR 2 based instruments when floating rate instruments are unadjusted with no timing or currency adjustment we refer to such Libor rates as natural and likewise when there are timing or currency adjustments as unnatural. Unnatural Libor coupons often require a convexity adjustment. The term convexity adjustment refers to a pricing correction that is non-linear.
In complete markets assuming the absence of arbitrage the value or price of a future expected payoff is calculated by forming a risk-free replicating portfolio today, comprising of the underlying and a funding instrument or numeraire. Future expected payoffs are then priced indirectly by evaluating the replication portfolio. This is often referred to as risk-neutral pricing.
A replication strategy is said to be self-financing if the replicating portfolio containing the underlying and numeraire form a perfect hedge. Mathematically when a replication strategy is self-financing we say it is a martingale.
Replication portfolios are usually created from natural market standard instruments. When the payoff we are replicating is unnatural or bespoke, having a timing or currency mismatch, the replication process is no longer a martingale and forms an imperfect hedge. In such cases the replication strategy no longer accurately reflects the price of the underlying payoff. Consequently when the payoff is non-standard we are required to make a convexity adjustment to account for the difference between the unnatural payoff and the natural replication portfolio.
Convexity adjustments are often quite small and negligible for small mismatches; however they can be quite large when the volatility of the underlying process is large or when the time to maturity is large. In fast moving markets, where volatility is high, we are more exposed to price differences from imperfect hedges.
In this paper we proceed as follows, firstly we look at convexity from a heuristic perspective considering the construction of a replication or hedge portfolio, secondly we proceed to review convexity adjustments from a mathematical perspective by considering risk-neutral martingale pricing methodologies.
Thirdly we consider how to evaluate convexity adjustments analytically. We look at convexity adjustment calculations using the linear swap rate method introduced by Hunt and Kennedy (2000), which we see applied to convexity adjustments by Pelsser (2003).
Fourthly we complete the analysis by evaluating the convexity adjustment formulae for specific rate dynamics, which allows us to consider the important case of how to apply convexity adjustments in markets exhibiting negative interest rates. In particular we look at how to apply convexity adjustments when rate dynamics are normal, lognormal and shifted-lognormal. We highlight that volatility parameters to be used depend on the dynamics assumed and consider volatility reconciliation using the drift freezing approach suggested by Caspers (2012, 2015).
Fifthly we outline and give examples of the convexity adjustments needed for Libor fixing inarrears and with arbitrary fixing times. We also consider modelling the convexity adjustment in a multi-curve environment as highlighted by Karouzakis et al (2018).
In conclusion we review convexity adjustment calculations using the static replication approach of Carr and Madan (2001) and consider the formulation of convexity adjustments for CMS instruments.
There is extensive literature on convexity adjustments see Andersen and Piterbarg (2010), Baxter and Rennie (1996), Hagan (2003), Hull (2011), Hunt and Kennedy (2000), Pelsser (2004) in this document we aim to summarize and provide a review in order to make the assumptions, relative advantages and disadvantages transparent and compare different approaches..
2. Convexity as a Replicating Portfolio
For a given asset or series of cashflows we can create a replicating portfolio with the same cashflow properties. The replication portfolio forms a hedge, which can be a static or dynamic hedge. Static hedges mimic the underlying always and require no maintenance; however dynamic hedges behave similarly only at a single point in time and require continuous adjustment. Consequently the process of constructing such a portfolio to mimic the reference asset is referred to as static or dynamic hedging. Static hedges have the same cashflows; put-call parity is an example of this. On the contrary dynamic hedges rather than having matching cashflows have matching Greeks; meaning that the hedge portfolio behaves the same way only for small (infinitesimally small) changes in the underlying and hence requires continuous adjustment.
The notion of a replication portfolio is thoroughly examined by Baxter and Rennie (1996). It is fundamental to asset pricing and relies on the assumption that market prices are arbitrage-free.
In practice complete markets are made efficient and arbitrage-free as a natural by-product of market activity as market participants construct such replication portfolios to profit from and exploit market arbitrage opportunities.
Central to the idea of replication portfolio construction is the concept of a self-financing portfolio, where cash required to form the portfolio is borrowed and excess cash is loaned, see Baxter and Rennie (1996). The replication portfolio together with the proceeds from the cash position is self-financing i.e. the portfolio construction and operating costs are offset by the cash position. When a portfolio is self-financing we say it is a martingale with respect to a measure or numeraire, which is a reference to the cash instrument used to finance the replicating portfolio. The measure is typically a savings account or zero coupon bond.
Timing, currency, collateral, margining and other adjustments typically cause the replication portfolio to no longer be self-financing and no longer a martingale. Consequently the portfolio price no longer matches the underlying reference asset. If we adjust the features of the underlying so that we have an “unnatural” instrument we no longer have a perfect hedge and we are required to adjust the underlying instrument to correct and compensate for the difference. This adjustment is non-linear and called the convexity adjustment.
3. Convexity as a Martingale Process
Mathematically convexity adjustments arise when we na¨ıvely attempt to replicate a bespoke unnatural instrument with the incorrect financing instrument or measure. In such cases the replicating portfolio is not self-financing and the pricing process is not a martingale. For an overview of martingale pricing see Burgess (2014). This concept and the corresponding change of measure correction were first introduced by Pelsser (2003), but what does this mean in practice?
In financial mathematics when a future expected payoff is a martingale this implies we can construct a replicating portfolio or hedge position that is self- financing see Baxter and Rennie (1996).
This means theoretically we can fund a long position in the underlying at zero cost by being short the replicating portfolio hedge position or vice versa. Using the self-financing construct we can compare the underlying and replicated price to identify mispricing and arbitrage opportunities.
We define and say that a random variable X(t), which is a function of time t, is a martingale if,
where Q denotes the appropriate risk-neutral measure to be used i.e. the cash instrument to be used to self-finance the replicating portfolio. It is common to denote today with time t = 0 giving,
When applying risk-neutral pricing to a payoff XT with maturity T the payoff process is considered a martingale with respect to a particular measure, which is a reference to the natural hedging instrument or natural numeraire Nt evaluated at time t. We calculate the value Vt at time t of the payoff using the martingale representation theorem see Baxter and Rennie (1996) and Burgess (2014) as follows,
where QN/ denotes a general risk-neutral measure using the natural numeraire Nt.Specifically when hedging with the risk-neutral savings account or cash bond3 P(t,T) evaluated at time t and maturing at time T we write,
where QT denotes the terminal forward measure using a zero coupon bond as numeraire with maturity T. Now since P(T,T) = 1 at maturity T this gives,
As can be seen from equation (5) we have a natural numeraire. That is to say the cash bond P(t, T) and underlying payoff XT have the same time to maturity T. As described in Burgess (2014) such a measure is called the terminal forward measure to indicate that the numeraire has the same time to maturity as the payoff function, which we denote QT.
When the hedging instrument is “unnatural” the martingale payoff formula is no longer valid. In some cases practitioners continue to derive pricing formulae using equation (4) as a close approximation and make a convexity adjustment for the difference.
If we form a replicating portfolio using the wrong measure then the “unnatural” hedge requires a convexity adjustment. In practice hedging instruments used for portfolio replication are often imperfect and suffer from timing or currency mismatches. Examples include Libor coupons fixing in-arrears4 i.e. fixing at the end of the coupon period and Libor coupons with a quanto adjustment that need to be paid in another currency. Another common example would be CMS swap coupons comprising of a swap or par rate paid quarterly.
Convexity adjustments can often be negligible for instruments with low volatility, when the timing or currency mismatch is small. Convexity adjustments are measured in terms the variance of the underlying process, which implies volatility and time to maturity are the main drivers of the convexity adjustment. The larger the volatility and time to maturity the larger the convexity adjustment required.
4. The Convexity Correction Formula
For natural Libor rate payoffs a common martingale measure is the terminal forward measure QT and for swap related instruments the annuity measure QA is a typical martingale measure.
Now imagine the case whereby we have an unnatural Libor payoff XS with time to maturity S to be evaluated as an expectation under the unnatural terminal forward measure QT with the zero coupon bond with time to maturity T as numeraire.
Clearly we have a timing mismatch, between the payoff with maturity S and the terminal forward process QT having zero coupon numeraire with maturity T with T < S. Applying equation (5) under this unnatural measure we incorrectly evaluate the price as.
where P(t, T) represents the discount factor at time t or equivalently the zero coupon bond maturing at time T valued at time t with t < T < S.
In general when the natural payoff XT has been adjusted and a timing or quanto adjustment is made we denote the unnatural payoff X̄T and it is no longer a martingale with respect to the measure being used.
4 Libor coupons are typically fixed in-advance on or near the coupon accrual start date.
Important Remark: Unnatural Rates
It is important to note for unnatural rates the convexity adjustments are due to timing lags in the rate process itself and not the payment date. Hence we use X̄T to indicate an unnatural rate or payoff and whilst payment is made at time T the underlying rate has a timing adjustment such as a fixing lag.
Therefore applying the change of measure theorem, see Burgess (2014) for an example, we can change the measure in the expectation within (6) to a martingale measure as follows,
Next for the unnatural measure QT with numeraire P(t, T) representing the zero coupon bond maturing at time T and Nt for the natural numeraire evaluated at time t we have that,
If we denote the residual Radon-Nykodym derivative as RT, we have,
It is common to write the Radon-Nykodym derivative in terms of a numeraire ratio or rate mapping function G, which is defined as follows,
with
The expected value of G(t) is a martingale with respect to Nt. Substituting equation (11) into (8) gives,
We could then represent (12) as,
This leads to the market standard convexity adjustment formula which is often cited throughout financial literature, see Andersen and Piterbarg (2010), Brigo and Mercurio (2006), Hull (2011), Pelsser (2004). In particular an excellent reference can be found in Lesniewski (2008).
-
Summary: Convexity Adjustment Formula
For a natural martingale measure QN and an unnatural terminal forward measure QT with maturity T we have a general convexity adjustment formula as follows,
where R(T) represents the Radon-Nykodym derivative with RT = G(T)/G(t) and our Libor or annuity mapping function is defined as G(t) = P(t,T)/Nt with natural numeraire Nt.
For a QN-martingale process the convexity adjustment is therefore given by,
Central to evaluating the above expression we need to determine the joint density function of XT and RT.
5. Evaluating Convexity Corrections
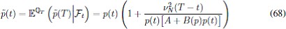
The central task remaining to make convexity corrections pivots on the evaluation of the joint density function of XT and RT presented in equation (14).
One approach is to use a Linear Rate model which approximates the joint density by evaluating the numeraire ratio G(t) as a linear function of the underlying rate. The numeraire ratio is typically a smooth and well behaved function, which makes such an approach reasonable.
There are several other ways to evaluate the joint density function resulting from the change of measure process as outlined by Hagan (2003), here in this paper we concentrate our efforts firstly on the linear rate models and secondly on static replication techniques.
Linear rate models provide a framework to evaluate the convexity correction; however we are still required to evaluate the dynamics of the underlying rate process. It is common to assume that the underlying follows a normal, lognormal or shifted-lognormal process, which allows us to derive tractable analytical formulae and source market volatility data required to perform the convexity calculation.
Linear rates models are often exact when making convexity adjustments on Libor instruments, however they are approximate for swap based instruments. Linear rate methods do not feature or incorporate any volatility smile dynamics.
A more sophisticated convexity calculation approach involves static replication of the underlying payoff using a replication portfolio comprising of cash, the underlying and a series of call and put options. As the portfolio is static it requires no maintenance.
The presence of options in the static replication portfolio allows us to incorporate volatility smile and skew and better price the convexity adjustment required. Static replication is considered the most accurate approach; however it suffers from being computationally intensive and intuitively opaque.
In what follows we review both the linear rate method and static replication approaches.
6. Linear Rate Method
A popular approach to convexity adjustment modelling is to use a Linear Rate model, whereby we assume that the numeraire ratio or rate mapping function G introduced in section (5) and equation (11) is linear, well-behaved and a function of the underlying rate process5. Linear Rate methods were first introduced by Hunt and Kennedy (2000) and applied to convexity adjustments by Pelsser (2003).
The linear rate method is exact for forward rates, for swap rates however it is an approximation that holds well. Empirically as shown by Schlenkrich (2015) the rate mapping function G is linear for the range of swap rates traded in the market when the interest rate environment is both regular and distressed.
This method provides a reasonable model of the convexity adjustment and replicates a first order Taylor series expansion of any one-factor model driven by the swap rate p(t). Schlenkrich (2015) provides an excellent overview of this approach and its accuracy.
The most common linear methods used are the Linear Forward Rate (LFRM) and Linear Swap Rate (LSRM) methods whereby we assume Libor forward rates and Swap rates can be modelled as a linear function of Libor forward rates and Swap par rates respectively. The advantage of using linear methods is that they provide analytical tractability and excellent performance speed.
Revisiting the market standard convexity correction formula from equation (14) and replacing the general payoff XT with a general yield term y(T) we have that,
with G(t) = P(t,T)/Nt. The linear rate method evaluates the rate mapping term G(t) as a linear function of the terminal rate or yield y(t)6, which typically represents a Libor or annuity rate, namely,
where y(t) denotes the underlying rate process being modelled and under this approach G takes a linear functional form with A being a constant and B(y) being a deterministic function of the underlying rate process7 or natural numeraire N.
5 Typically the Libor or Swap Par Rate.
6 When modelling convexity adjustments on Libor rates we define yield term to be the corresponding Libor rate at time t and when modelling convexity adjustments on swap instruments we define the yield term to be the corresponding annuity at time t.
Substituting (18) into our expectation expression (17) gives the following expression for the convexity adjustment,
Equivalently using the identity Var(X) = E[X2] - (E[X])2, we have,
-
Remark: Volatility
Note it is common in financial literature to sometimes write an equivalent expression for (20) in terms of the variance of y(T) using the identity Var(X) = E[X2] - (E[X])2, which leads to an alternative and equivalent representation, see Boenkost and Schmidt (2016). The equivalent expression in terms of variance makes clear why we require volatility information to evaluate convexity corrections.
-
The linear rate model also requires us to calculate the A and B(y) terms from (20). We know that the rate mapping process G(t) is a martingale therefore,
Simple re-arrangement of (22) gives,
Finally all that remains is to define the constant A, which must be implied from a suitable boundary or arbitrage condition derived from the natural measure or numeraire Nt for the specific problem at hand.
Putting everything together we summarize the Linear Rate Model as follows,
-
Summary: Convexity Adjustment Formula
As shown above the convexity adjustment evaluated at time t applied to an unnatural Libor or Swap rate represented by the yield term y(t) paid at time T can be calculated as follows,
where ȳ(T); is the convexity adjusted rate, A is a constant implied from a suitable boundary or arbitrage condition derived from natural measure with numeraire Nt and B is defined as follows,
The natural numeraire Nt for a Libor convexity adjustment is the zero coupon bond associated with the terminal forward measure and likewise for Swap convexity adjustments the natural numeraire is the annuity A(t) associated with the annuity measure QA.
Finally we define A=1/∑i𝜏i for Libor convexity adjustments and for swap based convexity adjustments, which we outline in more depth in sections (8.1) and (8.3) respectively.
-
Remark: Underlying Rate Process Dynamics
Importantly the dynamics of the underlying rate process y(T) are required to evaluate the squared expectation term on the RHS of (24). Knowledge of the distribution also allows us to source the volatility from the appropriate market cap, floor and swaption vols, which are commonly quoted with respect to a specific distribution of rates i.e. normal, lognormal or shifted-lognormal. The later is the subject of the next chapter. It is common practice to assume the underlying rate process is lognormal when rates are strictly positive and normal or shifted- lognormal for markets with negative rates.
7. Underlying Rate Process Dynamics
In order to evaluate the convexity adjusted rate from (24) we need to evaluate the 𝔼QN(y(T)2|ℱt) term. This is straightforward and analytical if we know the dynamics of the underlying rate process.
Furthermore market cap, floor and swaption volatilities are quoted with respect to the dynamics of the underlying process i.e. normal, lognormal or shifted-lognormal. Knowing the underlying rate distribution therefore also allows us to source the volatility from market implied volatilities rather than relying on historical volatility data.
We define the dynamics of a general process X(t) as follows,
where dB(t) denotes a Brownian motion and 𝜐N, 𝜎LN and ΣSLN denote normal, lognormal and shifted-lognormal volatilities respectively with a shifted-lognormal shift size b.
Caspers (2012, 2015) highlights that using the deterministic drift-freezing approach we can imply and approximate the volatility relationships between distributions as below.
The drift freezing approximation assumes the convexity adjustment dynamics are deterministic with the drift term frozen or fixed at time zero regardless of distribution assumed. The stochastic diffusion terms in (26) are hence defined to be zero which implies the lognormal and normal volatilities are also both zero, giving 𝜐N=0 and 𝜎LN=0 in the normal, lognormal case for example, which allows us to equate terms giving 𝜐N=𝜎LNX as shown above.
Remark: Volatility Parameters
Volatility parameters can be estimated historically or sourced from market ATM cap and swaption volatility data. The later is quoted on Bloomberg and other electronic trading venues specifically as normal, lognormal or shifted-lognormal volatility, see the Bloomberg ICAP pages for example.
Next applying Ito’s formula to the random variable X2 using the underlying dynamics from (26) we can evaluate the squared expectation term in (24) for each distribution type, which we derive in full in the appendix and summarize below.
Normal Process
For a normally distributed process we have that,
Lognormal Process
Likewise for a lognormal process Ito’s formula gives,
Shifted-Lognormal Process
Finally for a the shifted-lognormal case we derive the squared expectation from the lognormal case as,
which gives,
8. Linear Rate Method Analytical Formulae
Knowing the distribution of the underlying rate process we can use (24) to evaluate convexity adjusted rates analytically and imply the associated convexity corrections. Substituting the normal, lognormal and shifted-lognormal square expectations from (28), (29) and (31) respectively into equation (24) gives,
Normal Process
grouping identical terms in the numerator and denominator leads to an alternative yet equivalent representation that is popular in financial literature, see Boenkost and Schmidt (2016) for example,
Lognormal Process
Likewise for a lognormal process Ito’s formula gives,
Shifted-Lognormal Process
or equivalently by migrating the LHS b term to the RHS as,
Hull Method
We also confirm that the Hull convexity adjustment from Hull (2011) is equivalent to the specific case of the lognormal convexity adjustment using a linear first order Taylor series expansion of the exponential term i.e. eX = 1 + X giving,
8.1. Linear Forward Rate Model
Specifically when applying Linear Rate method to evaluate convexity adjustments for unnatural Libor rates we describe the model as a Linear Forward Rate model (LFRM). The main task to achieve here is move from a general rate model to the specific case of a Libor rate model by defining the A and B parameters used in equation (24) for the specific case of a Libor underlying rate.
The LFRM method uses the terminal forward measure with natural numeraire Nt = P(t,S), where S incorporates the timing adjustment. We define the Libor convexity adjusted rate L̄(t) using (17) as,
with the corresponding Libor mapping function G(t) from (18) defined as,
The LFRM model convexity adjusted Libor rate (38) applying (24) with y(t) = L(t) and noting that the natural measure QN for a Libor rate is the terminal forward measure QS, which yields the following solution,
Remark: Distribution of Libor Rates
We require knowledge of the underlying Libor distribution to evaluate the 𝔼QS(L(T)2|ℱt) term in (40) as outlined in section (7).
Next in order to evaluate the A and B parameters of the linear rate model using the martingale equality properties (22) and (23) with y(T) = L(T) we have that,
Finally we need to evaluate A which is derived by evaluating the rate mapping function G(t) at the boundary condition when S = T as follows,
We also know that
equating (42) and (43) leads to,
We can verify A = 1 by substitution into B(L) and G(t) within the boundary expressions (41) and (44), which must hold for all values of L(t).
Summary: Linear Forward Rate Model
As shown above the convexity adjustment for unnatural Libor rates evaluated at time t can be calculated as below, with the squared-expectation term determined by the choice of Libor distribution to be used as outlined in section (7).
which we can bifurcate into natural Libor and convexity adjustment terms by simultaneously adding and subtracting L(t) as follows,
where B(L) is defined with t < T < S with constant term A = 1 as,
8.2. Unnatural Libor Rate Adjustments
We can derive explicit analytical formulae for the convexity adjusted rate by substituting the square-expectations from section (7) into equation (45) above, which leads to the following results,
Normal Convexity Adjusted Rate
or alternatively,
Lognormal Convexity Adjusted Rate
Shifted-Lognormal Convexity Adjusted Rate
Hull Convexity Adjusted Rate
Summary: Unnatural Libor Rates – Analytical Convexity Corrections
The convexity correction to the natural Libor rate L(t) can be calculated using (46) by subtracting the natural Libor rate L(t) from the convexity adjusted rate L̄(T) leading to the below expressions for the convexity correction CC with subscripts to denote the specified distribution,
where B(L) is defined with constant term A = 1 for t < T < S as,
and the respective volatilities can be sourced from ATM cap volatility data.
Note: Hull’s method is equivalent to the lognormal method using a linear Taylor series expansion for the exponential term.
8.3. Linear Swap Rate Model
Similar to the Linear Forward Rate Model above we can apply the Linear Rate method to convexity adjust swap par rates and swap based instruments. In such cases we describe the model as a Linear Swap Rate method (LSRM).
The LSRM model is based upon the annuity measure with numeraire Nt=A(t)Σi𝜏iP(t,ti) and defines a swap convexity adjusted par rate p̄(T) using (17) as,
with the corresponding annuity mapping function G(t) from (18) defined as,
The reader is reminded not to confuse A terms, A denotes the LSRM constant term whereas A(t) represents the swap annuity at time t.
We know from the martingale equality using equations (22), (23) and setting y(t) = p(t) to represent the par rate that,
Finally we need to evaluate A which is derived by evaluating an annuity arbitrage condition with boundary S = T on the rate mapping function G(t) as shown below. We know from the annuity definition that Nt=A(t)Σi𝜏iP(t,ti). Therefore incorporating this into our definition of G(t) we have that,
We also know that at the boundary with S = T
equating (61) and (62) leads to
We can verify A=1/Σi𝜏i from (61) by substitution into the boundary expression (63), which must hold for all values of p.
Summary: Linear Swap Rate Model
As shown above the convexity adjusted unnatural Swap rate p̄(T) evaluated at time t can be calculated as in (64).
which we can bifurcate into a natural swap rate and convexity adjustment term as in (65) where B(p) is defined with t < T < S as, with constant term A=1/Σi𝜏i
Unnatural Swap Rate Adjustments
We can derive explicit analytical formulae for the convexity adjusted rate by substituting the square-expectations from section (7) into equation (64), which leads to the following results,
Normal Convexity Adjusted Rate
or alternatively,
Lognormal Convexity Adjusted Rate
Shifted-Lognormal Convexity Adjusted Rate
Multi-Curve Framework
In general when working with discount factors and forwards rates we should specify the curve that such rates are derived from. Yield curves are not tenor homogeneous and are dependent on the coupon frequency of their underlying calibration instruments.
Each curve incorporates the credit risk associated with borrowing or lending for the respective coupon period. As an example 3 month forward rates should be sourced from a yield curve built from 3 month instruments only and likewise for 6 month forward rates etc. We provide an overview of multi-curve construction in Burgess (2017) see section “Multiple Swap Curves & Multiple Yield Curve Bootstrapping”.
For discounting and for pricing purposes we are required to discount at the risk-free rate. The closest curve to risk-free is the OIS curve calibrated with instruments consisting of daily coupons. The OIS curve calculates collateralised borrowing and lending rates for daily periods. As such it is common practice to assume the OIS curve is the risk-free curve to be used for discounting.
Before the credit crisis and the Lehman collapse in 2008 financial markets were pricing instruments using a single curve framework that assumed lending for any frequency was riskfree. Much of the convexity adjustment literature pre- dates this and is also derived in a single curve context. More recent literature extend the single curve convexity adjustments to support the multi-curve scenarios, both Schlenkrich (2015) and Karouzakis et al (2018) highlight possible approaches.
Single Curve Case:
For t < T < S we have in the single curve case,
which implies Libor rates with simple compounding as,
where 𝜏= S − T
Multi-Curve Case:
In a multi-curve setting for t < T < S we have a curve specific relationship, for 3 month Libor for example we have,
which gives,
whereas the single curve framework would imply the below incorrect relationship,
Multi-Curve Convexity Adjustments
For the purpose of convexity corrections we could assume a deterministic credit or tenor basis spread relationship between Libor forward rates for the different tenor curves quoted in the market place as highlighted in Schlenkrich (2015).
As an example we could evaluate a deterministic spread between the Libor OIS and Libor 3 month curves as follows,
where b(T) denotes the credit spread observed at time T. Naturally the credit or tenor-basis spread b(T)3ML-OIS is specific to the Libor curves compared, we omit the curve superscripts for brevity.
We illustrate the spread relationship below,
Figure 1. Multi-Curve Forward Rate Illustration
We could extend the convexity adjustment formulae derived using the single curve paradigm (76) to incorporate the credit risk or tenor basis spread using (80) as follows,
where t < T < S and 𝜏= S − T= 0.25 i.e. 3 months.
Libor Stub Rate Example
Finally one should note that stub-rates or Libor forecast rates with irregular coupon periods are typically interpolated linearly, which is equivalent to interpolating on the spread term b(T). For example for a 2 month Libor rate we might choose to interpolate the OIS and Libor 3 month rates8 using the 3ML vs OIS basis spread B(T). This spread when scaled by a factor of 1, 2/3, 1/3 and 0 could be used to imply the 3m, 2m, 1m or a daily OIS Libor rate respectively as follows,
More generally to determine a Libor stub rate interpolating the deterministic spread b(T) we have,
where 𝜏STUB represents the year fraction for the stub rate and 𝜏CPN=S-T represents the year fraction for a full natural coupon accrual period.
In order to correctly price financial instruments with unnatural Libor coupons we are required to evaluate the above expression and the joint density function of XT and RT. The function G is a function of the underlying which is often approximated to simplify the calculation of this joint density, which is the subject of much financial research such as Hagan (2003), Karouzakis et al (2018), and Schlenkrich (2015).
Remark: Negative Rates
The lognormal approach does not hold for negative rates since the natural logarithm of a negative number is undefined. In USD rates markets where Libor and Swap rates are strictly positive a lognormal approach is valid, however in EUR and other rates markets where we have negative rates we cannot use the lognormal convexity adjustment. In such cases we look to alternative approaches and consider modelling the underlying process as a shifted-lognormal or normal process.
Summary: Unnatural Par Rates - Analytical Convexity Corrections
The convexity correction to the natural Libor rate p(t) can be calculated using (46) by subtracting the natural Libor rate p(t) from the convexity adjusted rate p̄(T) leading to the below expressions for the convexity correction CC with subscripts to denote the specified distribution,
with constant term A = 1. The respective volatilities can be sourced from ATM swaption volatility data.
Remark: Libor Stub Rate Extrapolation
Libor rate extrapolation is usually not modelled or traded due to practical market considerations. We typically do not extrapolate Libor stub rates and consider such rates undefined.
For example a Libor fixing rate extrapolated backwards prior to the accrual start date would be considered as a stub rate with a negative tenor with frequency less than the OIS 1 day frequency. Likewise a Libor fixing rate extrapolated forwards beyond the accrual end date would be considered as a rate fixing after the corresponding coupon payment date, which is not possible, since we cannot pay a coupon when the Libor rate and payment amount is unknown.
Special Case: Libor Fixing In-Arrears
In this section we derive the Libor convexity adjustment for the special case of Libor In-Arrears Swaps using the Linear Forward Rate Model (LFRM) outlined above in section (8.1) with analytical formulae from (8.1).
Firstly a natural Libor rate L0 fixes in-Advance at the start of the coupon period at time t0 and pays at the end of the coupon period at time t1 as illustrated below.
Figure 2. Natural Libor Rate Fixing Illustration
Clearly Libor rates must fix in advance so that we know how much we are expected to pay on the coupon payment date. However an investor should they wish could agree to trade a swap and fix the Libor rate in-arrears. This is possible provided the fixing takes place before the payment date.
In the special case that we agree to fix Libor rates in-Arrears, at the end of the coupon period, we are required to make a convexity adjustment to correctly price the swap. This is because our swap now consists of unnatural Libor rates, which a natural replication portfolio could exploit for arbitrage opportunities.
If we fix our first Libor rate in arrears at time t1 the natural payment date would be time t2 not time t1 and likewise for each and every Libor rate and coupon in such a swap. Each Libor rate in this swap is equivalent a natural Libor rate deferred by 1 period as shown below.
Figure 3. Unnatural Libor Rate Fixing Illustration
We are required to make a convexity correction to correct the timing mismatch and eliminate the arbitrage opportunity. If we assume that interest rates are positive 9 and lognormally distributed we can apply the analytical formula from (54) with A = 1 namely,
where B(L) is defined with t < T < S as,
Single Curve:
In a single curve framework using single curve expression for forward rates (76) we know by definition that,
which implies,
the B(L) term in our convexity formula (83) reduces to the below as outlined in Pelsser (2004),
Multi-Curve:
In a multi-curve environment using the multi-curve definition for a forward stub rates (82) with 𝜏STUB=𝜏CPN equation (85) becomes,
which is the same result for this particular case.
Libor In-Arrears Adjustment:
This gives a single convexity correction for both the single and multi-curve case as follows,
where 𝜏= (S - T).
In practice the difference between single and multi-curve methodologies for unnatural Libor instruments typically only affects Libor rates fixing in-arbitrary time, where we have stub rates to evaluate.
Applying the convexity adjustment to a 5Y USD Libor In-Arrears Swap gives the below results.
Figure 4. Convexity Adjustment Illustration for Libor In-Arrears Swap
Replication Approach
If we know call and put prices and their derivatives for all strikes for a fixed maturity we can find the value of any European-style option payoff, including those requiring convexity adjustments and those with complex exotic payoffs, using the replication approach.
As highlighted by Derman (2008) this approach does not require the use of option theory, the Black-Scholes equation or any other model, but rather all underlying state-contingent prices are implied from option prices. The method is popular because it naturally incorporates smile, skew and jumps in the underlying process.
The replication approach centres on the work of Carr and Madan (2001), whereby we can express any European payoff on a single underlying instrument as the sum of call and put options on the same underlying. The Carr-Madan formula evaluates a payoff f(S) on the underlying security S at maturity T for a chosen unique evaluation point 𝓍0 as follows,
where f’(•) and f’’(•) represents the payoff delta and gamma respectively.
The Carr-Madan formula (88) theoretically allows us to replicate any twice continuously differentiable European payoff using only vanilla call and put options. This suggests we can replicate, price and hedge exotic payoffs using vanilla, liquid, standard call and put option contracts quoted in the marketplace.
As outlined in Carr and Madan (2001) and Derman (2008) using the Carr- Madan formula (88) investors can statically replicate any smooth function of the underlying by taking a position in zero coupon bonds10, the underlying and out-of- the-money (OTM) options of all strikes K. To achieve this we rearrange (88) to group constant, linear and non-linear terms in our state variable S such that,
Figure 5. Static Replication Example Illustration for a Generic Payoff Function f(S)
The replication strategy involves constructing a hedge portfolio with notionals specified by the constant, linear and non-linear terms to be invested in zero-coupon bonds, the underlying and OTM options respectively for a suitably chosen threshold or evaluation point 𝓍011. The linear and non-linear terms capture the payoff delta and gamma respectively. We outline how a static replication strategy might look like for a generic function f(S) in figure (5).
10or funding account / numeraire
Specifically as shown in Carr and Madan (2001) letting V0 denote the initial value of the arbitrary payoff f(S), and letting B0, P0, C0 denote the initial prices of the Bond, Put and Call options respectively then it follows from (89) that,
Theoretically if we know all call and put option prices for a given maturity we can price any European option payoff for the same maturity. In practice we do not know all option prices for all strikes, so we discretize the problem into 10bp or similar strike buckets to match the liquid price and volatility quotes specified in the market. The convexity correction is then expressed as the sum of European swaptions centered in each bucket.
The replication method is the most accurate way to evaluate convexity corrections since it behaves similar to a Levy process in that it incorporates market features such as volatility smile, skew and jumps from the option constituents of the replication strategy.
In particular the volatility smile of the trading desk is incorporated making the convexity correction consistent with the desks internal handling of the trading book. In section (12), we provide an example of how to apply the Carr-Madan replication formula to Constant Maturity Swaps. The disadvantage of the replication method is that it is opaque, can be computationally intensive and is slow to calculate, so much so that trading desks seek alternative formulas and analytical approximations to perform the same calculation.
Furthermore replication provides no additional value to instruments with affine payoffs as shown in figure (6). Libor In-Arrears and a CMS Swaps both have affine payoffs; however in complete markets we can mitigate this problem and employ the static replication approach indirectly using arbitrage relationships such as put-call parity.
11
common choices for 𝓍0 are zero, the spot value of the underlying or the delivery price of the underlying forward contract
Figure 6. Static Replication Example Illustration for an Affine Payoff Function h(S)
Static Replication of Constant Maturity Swaps
In this section we review the convexity adjustment for Constant Maturity Swaps using the static replication approach outlined in Hagan (2003) and demonstrate how to apply the Carr-Madan formula to arrive at the convexity adjusted price for CMS Caplets, Floorlets and Swaplets.
The value of CMS Caplet VtCAP and CMS Floorle VtFLR outlined in Hagan (2003) can be valued under the annuity measure as follows,
and
where S represents the underlying swap rate and G(S) the functional form of the Radon-Nykodym derivative or numeraire ratio outlined above in equation (11).
Likewise the value of a CMS Swaplet is determined follows or from put-call parity,
The Carr-Madan formula for our swap rate state variable S and evaluation point S0 reads as,
We proceed to determine the convexity adjusted price first for the CMS caplet, followed by the CMS floorlet and CMS swaplet.
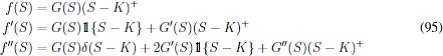
Firstly for the CMS caplet to apply the Carr-Madan formula we must specify the payoff f(S) and its first and second order derivatives i.e. the payoff delta and gamma. We have in this case,
where ∥ {∙} and 𝛿{∙} represent the Heaviside and Dirac Delta functions respectively12, see the appendix for more information and related identities.
We could structure the payoff to represent and determine the convexity adjusted payoff as above or the convexity adjustment on the payoff only. The later would determine the convexity adjustment as an add-on to the natural underlying payoff with no convexity adjustment and would be achieved by setting the payoff function to f(S)=[G(S)-1](S-K)+, which is the approach taken by Hagan (2003).
Next we select a Carr-Madan evaluation point 𝓍0, typically to eliminate terms and simplify the Carr-Madan expression (90). In this case we select 𝓍0 < K which gives,
and
substituting (95), (96) and (97) into (94) leads to,
from the Kronecker delta definition we know that,
which gives,
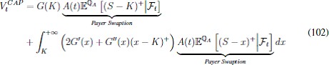
substituting the statically replicated payoff representation (100) into our CMS Caplet payoff formula (91) gives,
which gives,
we know that a payer swaption with strike K can be priced as,
Therefore, we find the convexity adjusted CMS Caplet has value,
12 The Heaviside- & Dirac Delta functions are also known as Indicator- & Kronecker Delta functions.
We can derive the CMS floorlet in a similar fashion by setting the payoff function f(S) as follows,
setting the evaluation point S0 to be S0 > K we find the CMS floorlet price VtFLR,
where VtRSW PT represents the receiver swaption price.
Finally the CMS Swaplet price VtSWP with payoff f(S) = G(S)(S- K) and maturity T can be evaluated at time t with t < T using put-call parity whereby,
which holds since,
-
Conclusion
The aim of this paper was to give a review of why we need to make convexity adjustments and an overview of how to make such adjustments. It was desirable to make the convexity adjustment process as heuristic and easy as possible so that readers and practitioners can customize convexity adjustment formulae to suit their needs.
It is important to understand how and why convexity adjustments arise so that we can correctly price securities in an arbitrage-free manner. Furthermore we need to understand the process well since there are so many types of convexity adjustments that is difficult to document them all, hence practitioners need to be able to derive and modify such formulae on their own and understand the strengths and weaknesses of different approaches and the approximations and assumptions used.
Firstly, we reviewed convexity adjustments from a replication portfolio perspective to provide the reader with some intuition as to why we need to apply convexity adjustments to bespoke instruments to mitigate arbitrage opportunities. This is especially important in complete markets where arbitrage can be easily monetized.
Secondly, we looked at convexity from a mathematical perspective to facilitate learning how to make convexity adjustments and tailor such adjustments for bespoke instruments and to suit practitioner requirements.
Thirdly, we presented a general convexity correction formula and outlined two standard and popular methods of evaluating convexity corrections, namely the linear rate method and a static replication method, the later being more accurate and more advanced yet more challenging to derive and implement.
Fourthly, we provided an extensive review of the linear rate method giving an extensive overview of the analytical formulae used and the underlying assumptions of each of thee formulae. We also outlined where the models make subtle single curve assumptions, which are outdated and suggest a simple approach on how to relax such assumptions by modelling the credit or tenor basis spreads as a deterministic function.
Fifthly, we gave a detailed example of how to convexity adjust Libor rates using the Libor In-Arrears swap as a case study, which is a special case of an arbitrary Libor fixing adjustment.
Sixthly, we outlined the Carr-Madan static replication approach and derived the corresponding convexity adjustment for Constant Maturity Caplets, Floorlets and Swaplets. We highlight that static replication typically adds little or no value for affine payoffs; however we can mitigate this problem using arbitrage relationships such as put-call parity.
References
Andersen, L.B.G., and Piterbarg, V.V. (2010). Interest Rate Modelling. Volume I: Foundations and Vanilla Models. London: Atlantic Financial Press.
Baxter, M., and Rennie, A. (1996). Financial Calculus: An Introduction to Derivative Pricing. Cambridge, UK: Cambridge University Press.
Brigo, D., and Mercurio, F. (2006). Interest Rate Models - Theory and Practice: With Smile, Inflation and Credit. 2nd ed., Springer Finance.
Boenkost, W., and Schmidt, W.M. (2016). Notes on Convexity and Quanto Adjustments for Interest Rates and Related Options. Available at SSRN: https://ssrn.com/abstract=1375570 or http://dx.doi.org/10.2139/ssrn.1375570
Burgess, N. (2014). Martingale Measures & Change of Measure Explained. Available at SSRN: https://ssrn.com/abstract=2961006 or http://dx.doi.org/10.2139/ssrn.2961006
Burgess, N. (2017). How to Price Swaps in Your Head - An Interest Rate Swap & Asset Swap Pricer. Available at SSRN: https://ssrn.com/abstract=2815495 or http://dx.doi.org/10.2139/ssrn.2815495
Carr, P., and Madan, D. (2001). Optimal Partitioning in Derivative Securities. Quantitative Finance , 1(1), pp. 19-37.
Caspers, P. (2012). Normal Libor in Arrears. Available at SSRN: https://ssrn.com/abstract=2188619 orhttp://dx.doi.org/10.2139/ssrn.2188619
Caspers, P. (2015). Libor Timing Adjustments. Available at SSRN: https://ssrn.com/abstract=2170721 or http://dx.doi.org/10.2139/ssrn.2170721
Derman, E. (2008). Static Hedging and Implied Distributions. Columbia University Smile Course, Lecture 5. http://www.emanuelderman.com/writing/category/smile-course
Hagan, P. (2003). Convexity Conundrums: Pricing CMS swaps, caps and floors. Wilmott Magazine, pp. 38-44.
Hull, J.C. (2011). Options, Futures and Other Derivatives. 8th ed., Pearson Education.
Hunt, P., and Kennedy, J. (2000). Financial Derivatives in Theory and Practice. John Wiley & Sons.
Karouzakis, N., Hatgioannides, J., and Andriosopoulos, K. (2018). Convexity Adjustment for Constant Maturity Swaps in a Multi-Curve Framework. Annals of Operations Research, 266(1-2), pp. 159-181
Lesniewski, A. (2008). Convexity. Math NYU Lecture Series Spring 2007, www.math.nyu.edu
Pelsser, A. (2003). Mathematical Foundation of Convexity Correction. Quantitative Finance, 3(1), pp. 59-65.
Pelsser, A. (2004). Efficient Methods for Evaluating Interest Rate Derivatives, 2nd ed., Springer Finance
Schlenkrich, S. (2015). Multi-Curve Convexity. Available at SSRN: https://ssrn.com/abstract=2667405 orhttp://dx.doi.org/10.2139/ssrn.2667405
Appendix 1: Linear Rate Model - Useful Identities
To evaluate the Linear Rate Model analytically we are required to evaluate E[X2]. To evaluate this term using Ito’s Lemma requires knowledge of the underlying rate process dynamics, which we outline below.
Ito’s Lemma
Letting Y = X2, dropping the time t argument for brevity and applying Ito’s Lemma we have,
Case 1: Normal
For the normal case we have
Evaluating (112) over the time interval (T - t) gives,
which over the time interval (T - t) gives,
We know the Gaussian or Brownian increments are independent and identically distributed having a normal distribution with mean or expected value of zero. Knowing that the Brownian terms evaluate to zero and that Y = X2 by definition gives,
Case 2: Lognormal
For the lognormal case we
Evaluating (112) leads to,
which over the time interval (T - t) gives,
We know the Gaussian or Brownian increments are independent and identically distributed having a normal distribution with mean or expected value of zero. Knowing that the Brownian terms evaluate to zero and that Y = X2 by definition therefore,
Case 3: Shifted-Lognormal
For the shifted-lognormal with shift size b case we have
Note that d(X + b) = dX + db = dX, since b is constant. In this case we have,
reusing the result from (114) we have,
which leads to,
Appendix 2: Heaviside and Dirac Delta Functions Summary: Heaviside and Dirac Delta Functions
Appendix 3: Pricing Workbook
With this paper we include an example pricing workbook to price Libor In- Arrears swaps with convexity adjustments made. Kindly email the author should you wish to receive a copy.
Figure 9. Example Swaps Pricing Workbook with Convexity Adjustments
Figure 10. Convexity Adjustment Example for Libor In-Arrears Swap

This work is licensed under a Creative Commons Attribution-NonCommercial-NoDerivatives 4.0 International License.
